Battin, Tom et al. Research Square Platform LLC (2026)
Abstract
Glacierized landscapes produce abundant fine-grained reactive minerals that play a pivotal role in high-altitude inorganic carbon cycling, mainly through geochemical weathering. However, our understanding of the relationship between glacially comminuted mineral dissolution, precipitation of secondary phases and inorganic carbon cycling in the world’s glacier-fed streams (GFSs) remains elusive. Here, we investigate first-order relationships between suspended sediment mineralogy, streamwater solute chemistry and CO 2 saturation across 170 GFSs draining Earth’s most prominent mountain ranges and the periphery of the Greenland Ice Sheet. The sampled GFSs span the major global climate belts, including cool-continental (50%), polar-alpine (20%), temperate-subtropical (20%), and tropical (10%) environments, and drain catchments dominated by felsic lithologies (69%) including minor shield crystalline terrains, mafic rocks (19%), and carbonous, including mixed carbonate-felsic systems (13%). We find that the majority (74%) of the studied GFSs are undersaturated in CO 2 relative to atmospheric equilibrium. Our analysis, based on streamwater geochemistry, end-member inversion mixing modeling, calcite saturation state, Ca-Mg-Na-Sr systematics, and suspended sediment mineralogy, reveals widespread evidence for carbonate precipitates enriched in Mg, Si, Fe, and other transition metals on sediment grains. This process can explain CO 2 removal from waters and undersaturation of many GFS, even in settings where sulfide mineral weathering would be expected to result in low pH waters and CO 2 release. These findings show for the first time how carbonation of silicate minerals in GFSs can result in CO 2 drawdown, making the transient storage and fate of these poorly understood sedimentary carbonate phases key to understanding the net impacts on carbon cycling over centennial to millennial timescales.
Michoud, Grégoire et al. bioRxiv (2026)
Abstract
Habitat transitions are central to microbial ecology and evolution and have been extensively studied across vastly different environments, such as between saline and non-saline environments. However, microbial habitat transitions along other large-scale environmental gradients remain poorly studied. This is particularly true for transitions involving the cryosphere, despite building evidence suggesting the Cryogenian as important for evolutionary radiation. Here, we investigated ecosystem transitions and related genomic adaptations of the cosmopolitan cryospheric Polaromonas bacterium. We constructed a pangenome from 282 high-quality genomes, sourced from glaciers, glacier-fed streams, lakes, wetlands, groundwater, rivers, and soils. Phylogenetic reconciliation revealed that the ancestral Polaromonas genome radiated from glacier ecosystems into various downstream environments through multiple independent transitions. These transitions were marked by extensive horizontal gene transfer and gene loss, with mobile genetic elements, such as plasmids and prophages playing key roles in genomic diversification. Predicted ancestral genomes encoded versatile metabolic and stress-response capacities, supporting adaptation to fluctuating and extreme conditions in the various cryospheric habitats. Compared to the ancestral Polaromonas genome, distinct genomic signatures were associated with specific habitats: glacier-fed stream lineages possess expanded stress tolerance repertoires, glacier lineages gained chemolithotrophic and anaerobic pathways, lake and wetland genomes acquired phototrophic functions, and soil lineages expanded substrate transport and stress tolerance. Together, our findings highlight the role of genomic plasticity in the ecological success of Polaromonas, and also underscore the cryosphere as a potential evolutionary cradle from which lineages dispersed and adapted to downstream aquatic and terrestrial environments.
Kohler, Tyler J et al. Nature Geoscience (2025)
Kochoska et al. Diatom Research (2025)
Abstract
Glacier-fed streams (GFSs) are harsh environments hosting unique, highly specialized communities. Interestingly, glaciers and their GFSs are also present in Earth’s tropical regions, where environmental characteristics contrast with GFS conditions elsewhere. Yet, despite the unique and isolated nature of tropical GFSs, little is known about their inhabitants, even though they may disappear later this century with ongoing climate change. Here, we examined diatom communities from one of the last tropical African GFSs in the Rwenzori Mountains, Uganda, to characterize the composition and diversity of this unique system. Six sediment-associated biofilm samples were collected from two reaches of a stream draining the Mt. Stanley Glacier, and the resident diatom communities were studied morphologically using light and scanning electron microscopy, as well as through the sequencing of amplicons from extracted DNA (18S and rbcL). In general, morphological results agree well with barcoding results, but each individually provides irreplaceable insights. In total, we identify 24 morphotypes utilizing light microscopy, 101 diatom Amplicon Sequence Variants (ASVs) using 18S sequences, and 65 ASVs with rbcL. Across approaches, common genera include Achnanthidium, Psammothidium, Neidium, Cymbopleura, Eunotia, and Pinnularia. However, only about half of the diversity could be assigned to the species level across methodologies, including several of the most common taxa, indicating a high level of uniqueness. Accordingly, one of the most common taxa encountered is described here as a new species, Neidium rwenzoriense sp. nov. Our results emphasize the Rwenzori Mountains as a global hotspot for endemism, and the novelty of disappearing tropical GFSs as diatom habitats.
Holt, Amy et al. Global Biogeochemical Cycles (2025)
Abstract
Atmospheric deposition delivers carbon to glacier surfaces, including from fossil fuel and biomass combustion. Nonetheless, spatial variation in the sources of organic and black carbon deposited on glaciers is poorly understood, along with their role in driving glacier outflow dissolved organic matter (DOM) composition and fate. Here, we used bulk and compound-specific carbon isotopic analyses to constrain the sources of dissolved organic carbon (DOC) and dissolved black carbon (DBC) in 10 glacier outflows across four regions. To understand the relationships between glacier DOM composition and sources of DOC and DBC, isotopic data were used in conjunction with ultrahigh resolution molecular-level analyses. Globally, a substantial yet variable component of DOC was sourced from anthropogenic aerosols (12%–91%; median 50%), influencing regional DOM composition (aliphatics 26.9%–58.4% relative abundance; RA). Relatively older radiocarbon ages (i.e., larger fossil-derived component) of glacier DOC were correlated with more 13C depleted DOC and DBC signatures, where DOM had higher aromaticity, elevated RA of condensed aromatics, and a lower RA of aliphatic compounds. This study highlights that anthropogenic deposition is pervasive, but its extent varies spatially with ramifications for DOM composition, and thus reactivity and fate.
Battin Tom et al. Nature “comment” (2025)
Abstract
Nearly half of Earth’s glaciers are projected to vanish by 2100, even if the increasingly improbable goal of limiting global warming to 1.5 °C above pre-industrial levels is met1. Already, Venezuela and Slovenia have lost all their glaciers — the first countries to do so in modern times.
To draw attention to such losses and to highlight the crucial part played by glaciers, snow and ice in the climate system, the United Nations has declared 2025 as the International Year of Glaciers’ Preservation. Yet, there is remarkably little consensus on how to save a glacier.
Thirty years ago, when the UN Framework Convention on Climate Change came into force, the answer was clear: reduce greenhouse-gas emissions. Today, as carbon emissions continue to rise, mitigation alone seems to be insufficient. Technological interventions are starting to be explored — including making ice more reflective using tiny glass beads, enhancing snowfall through cloud seeding and wrapping glaciers in protective films and geotextiles2.
However, glaciers are much more than frozen ice…
Ute Geers, Aileen et al. Msystems (2025)
Abstract
Glacier-fed streams are permanently cold, ultra-oligotrophic, and physically unstable environments, yet microbial life thrives in benthic biofilm communities. Within biofilms, microorganisms rely on secondary metabolites for communication and competition. However, the diversity and genetic potential of secondary metabolites in glacier-fed stream biofilms remain poorly understood. In this study, we present the first large-scale exploration of biosynthetic gene clusters (BGCs) from benthic glacier-fed stream biofilms sampled by the Vanishing Glaciers project from the world’s major mountain ranges. We found a remarkable diversity of BGCs, with more than 8,000 of them identified within 2,868 prokaryotic metagenome-assembled genomes, some of them potentially conferring ecological advantages, such as UV protection and quorum sensing. The BGCs were distinct from those sourced from other aquatic microbiomes, with over 40% of them being novel. The glacier-fed stream BGCs exhibited the highest similarity to BGCs from glacier microbiomes. BGC composition displayed geographic patterns and correlated with prokaryotic alpha diversity. We also found that BGC diversity was positively associated with benthic chlorophyll a and prokaryotic diversity, indicative of more biotic interactions in more extensive biofilms. Our study provides new insights into a hitherto poorly explored microbial ecosystem, which is now changing at a rapid pace as glaciers are shrinking due to climate change.
Bourquin et al. Nature communications (2025)
Abstract
The shrinkage of glaciers and the vanishing of glacier-fed streams (GFSs) are emblematic of climate change. However, forecasts of how GFS microbiome structure and function will change under projected climate change scenarios are lacking. Combining 2,333 prokaryotic metagenome-assembled genomes with climatic, glaciological, and environmental data collected by the Vanishing Glaciers project from 164 GFSs draining Earth’s major mountain ranges, we here predict the future of the GFS microbiome until the end of the century under various climate change scenarios. Our model framework is rooted in a space-for-time substitution design and leverages statistical learning approaches. We predict that declining environmental selection promotes primary production in GFSs, stimulating both bacterial biomass and biodiversity. Concomitantly, predictions suggest that the phylogenetic structure of the GFS microbiome will change and entire bacterial clades are at risk. Furthermore, genomic projections reveal that microbiome functions will shift, with intensified solar energy acquisition pathways, heterotrophy and algal-bacterial interactions. Altogether, we project a ‘greener’ future of the world’s GFSs accompanied by a loss of clades that have adapted to environmental harshness, with consequences for ecosystem functioning.
Ezzat, Leïla et al. Nature (2025)
Abstract
The rapid melting of mountain glaciers and the vanishing of their streams is emblematic of climate change1,2. Glacier-fed streams (GFSs) are cold, oligotrophic and unstable ecosystems in which life is dominated by microbial biofilms2,3. However, current knowledge on the GFS microbiome is scarce4,5, precluding an understanding of its response to glacier shrinkage. Here, by leveraging metabarcoding and metagenomics, we provide a comprehensive survey of bacteria in the benthic microbiome across 152 GFSs draining the Earth’s major mountain ranges. We find that the GFS bacterial microbiome is taxonomically and functionally distinct from other cryospheric microbiomes. GFS bacteria are diverse, with more than half being specific to a given mountain range, some unique to single GFSs and a few cosmopolitan and abundant. We show how geographic isolation and environmental selection shape their biogeography, which is characterized by distinct compositional patterns between mountain ranges and hemispheres. Phylogenetic analyses furthermore uncovered microdiverse clades resulting from environmental selection, probably promoting functional resilience and contributing to GFS bacterial biodiversity and biogeography. Climate-induced glacier shrinkage puts this unique microbiome at risk. Our study provides a global reference for future climate-change microbiology studies on the vanishing GFS ecosystem.
Bourquin, Massimo et al. ISME communications (2025)
Abstract
The factors and processes that shape microbial genomes and determine the success of microbes in different environments have long attracted scientific interest. Here, leveraging 2855 metagenome-assembled genomes sampled by the Vanishing Glacier Project from glacier-fed streams (GFSs), we shed light on the genomic architecture of the benthic microbiome in these harsh ecosystems—now vanishing because of climate change. Owing to glacial influence, the GFS benthic habitat is unstable, notoriously cold, and ultra-oligotrophic. Along gradients of glacial influence and concomitant variation in benthic algal biomass across 149 GFSs draining Earth’s major mountain ranges, we show how genomes of GFS bacteria vary in terms of size, coding density, gene redundancy, and translational machinery. We develop a novel, phylogeny-rooted analytical framework that allows pinpointing the phylogenetic depth at which patterns in genomic trends occur. These analyses reveal both deep- and shallow-rooting phylogenetic patterns in genomic features associated with key GFS taxa and functional potential relevant to live in these ecosystems. Additionally, we highlight the role of several clades of Gammaproteobacteria in shaping community-level genomic architecture. Our work shows how genome architecture is shaped by selective environmental constraints in an extreme environment. These insights are important as they reveal putatively important adaptations to the GFS environment which is now changing at rapid pace due to climate change.
Michoud, Grégoire et al. Nature Microbiology (2025)
Abstract
Glacier-fed streams (GFS) feature among Earth’s most extreme aquatic ecosystems marked by pronounced oligotrophy and environmental fluctuations. Microorganisms mainly organize in biofilms within them, but how they cope with such conditions is unknown. Here, leveraging 156 metagenomes from the Vanishing Glaciers project obtained from sediment samples in GFS from 9 mountains ranges, we report thousands of metagenome-assembled genomes (MAGs) encompassing prokaryotes, algae, fungi and viruses, that shed light on biotic interactions within glacier-fed stream biofilms. A total of 2,855 bacterial MAGs were characterized by diverse strategies to exploit inorganic and organic energy sources, in part via functional redundancy and mixotrophy. We show that biofilms probably become more complex and switch from chemoautotrophy to heterotrophy as algal biomass increases in GFS owing to glacier shrinkage. Our MAG compendium sheds light on the success of microbial life in GFS and provides a resource for future research on a microbiome potentially impacted by climate change.
Holt Amy et al. Global biogeochemical cycles (2024)
Abstract
Runoff from rapidly melting mountain glaciers is a dominant source of riverine organic carbon in many high-latitude and high-elevation regions. Glacier dissolved organic carbon is highly bioavailable, and its composition likely reflects internal (e.g., autotrophic production) and external (i.e., atmospheric deposition) sources. However, the balance of these sources across Earth’s glaciers is poorly understood, despite implications for the mineralization and assimilation of glacier organic carbon within recipient ecosystems. We assessed the molecular-level composition of dissolved organic matter from 136 mountain glacier outflows from 11 regions covering six continents using ultrahigh resolution 21 T mass spectrometry. We found substantial diversity in organic matter composition with coherent and predictable (80% accuracy) regional patterns. Employing stable and radiocarbon isotopic analyses, we demonstrate that these patterns are inherently linked to atmospheric deposition and in situ production. In remote regions like Greenland and New Zealand, the glacier organic matter pool appears to be dominated by in situ production. However, downwind of industrial centers (e.g., Alaska and Nepal), fossil fuel combustion byproducts likely underpin organic matter composition, resulting in older and more aromatic material being exported downstream. These findings highlight that the glacier carbon cycle is spatially distinct, with ramifications for predicting the dynamics and fate of glacier organic carbon concurrent with continued retreat and anthropogenic perturbation.
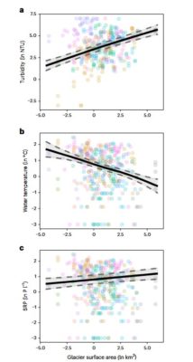
Kohler Tyler J. et al. Nature Geoscience (2024)
Abstract
Most cryospheric ecosystems are energy limited. How their energetics will respond to climate change remains largely unknown. This is particularly true for glacier-fed streams, which interface with the cryosphere and initiate some of Earth’s largest river systems. Here, by studying resource stoichiometry and microbial energetics in 154 glacier-fed streams sampled by the Vanishing Glaciers project across Earth’s major mountain ranges, we show that these ecosystems and their benthic microbiome are overall carbon and phosphorus limited. Threshold elemental ratios and low carbon use efficiencies (median: 0.15) modelled from extracellular enzymatic activities corroborate resource limitation in agreement with maintenance metabolism of benthic microorganisms. Space-for-time substitution analyses suggest that glacier shrinkage will stimulate benthic primary production in glacier-fed streams, thereby relieving microbial metabolism from carbon limitation. Concomitantly, we find that increasing streamwater temperature will probably stimulate microbial growth (temperature sensitivity: 0.62 eV). Consequently, elevated microbial demands for phosphorus, but diminishing inputs from subglacial sources, may intensify phosphorus limitation as glaciers shrink. Our study thus unveils a ‘green transition’ towards autotrophy in the world’s glacier-fed streams, entailing shifts in the energetics of their microorganisms.
Michoud, Grégoire et al. Royal Society Open Science (2023)
Abstract
The glaciers on Africa’s ‘Mountains of the Moon’ (Rwenzori National Park, Uganda) are predicted to disappear within the next decades owing to climate change. Consequently, the glacier-fed streams (GFSs) that drain them will vanish, along with their resident microbial communities. Despite the relevance of microbial communities for performing ecosystem processes in equatorial GFSs, their ecology remains understudied. Here, we show that the benthic microbiome from the Mt. Stanley GFS is distinct at several levels from other GFSs. Specifically, several novel taxa were present, and usually common groups such as Chrysophytes and Polaromonas exhibited lower relative abundances compared to higher-latitude GFSs, while cyanobacteria and diatoms were more abundant. The rich primary producer community in this GFS likely results from the greater environmental stability of the Afrotropics, and accordingly, heterotrophic processes dominated in the bacterial community. Metagenomics revealed that almost all prokaryotes in the Mt. Stanley GFS are capable of organic carbon oxidation, while greater than 80% have the potential for fermentation and acetate oxidation. Our findings suggest a close coupling between photoautotrophs and other microbes in this GFS, and provide a glimpse into the future for high-latitude GFSs globally where primary production is projected to increase with ongoing glacier shrinkage.
Holt, Amy D. et al. Journal of Geophysical Research: Biogeosciences (2023)
Abstract
The biogeochemistry of rapidly retreating Andean glaciers is poorly understood, and Ecuadorian glacier dissolved organic matter (DOM) composition is unknown. This study examined molecular composition and carbon isotopes of DOM from supraglacial and outflow streams (n = 5 and 14, respectively) across five ice capped volcanoes in Ecuador. Compositional metrics were paired with streamwater isotope analyses (δ18O) to assess if outflow DOM composition was associated with regional precipitation gradients and thus an atmospheric origin of glacier DOM. Ecuadorian glacier outflows exported ancient, biolabile dissolved organic carbon (DOC), and DOM contained a high relative abundance (RA) of aliphatic and peptide-like compounds (≥27%RA). Outflows were consistently more depleted in Δ14C-DOC (i.e., older) compared to supraglacial streams (mean −195.2 and −61.3‰ respectively), perhaps due to integration of spatially heterogenous and variably aged DOM pools across the supraglacial environment, or incorporation of aged subglacial OM as runoff was routed to the outflow. Across Ecuador, Δ14C-DOC enrichment was associated with decreased aromaticity of DOM, due to increased contributions of organic matter (OM) from microbial processes or atmospheric deposition of recently fixed and subsequently degraded OM (e.g., biomass burning byproducts). There was a regional gradient between glacier outflow DOM composition and streamwater δ18O, suggesting covariation between regional precipitation gradients and the DOM exported from glacier outflows. Ultimately, this highlights that atmospheric deposition may exert a control on glacier outflow DOM composition, suggesting regional air circulation patterns and precipitation sources in part determine the origins and quality of OM exported from glacier environments.
Busi, Susheel et al. Microbiology Spectrum (2023)
Abstract
Antimicrobial resistance (AMR) is a universal phenomenon the origins of which lay in natural ecological interactions such as competition within niches, within and between micro- to higher-order organisms. To study these phenomena, it is crucial to examine the origins of AMR in pristine environments, i.e., limited anthropogenic influences. In this context, epilithic biofilms residing in glacier-fed streams (GFSs) are an excellent model system to study diverse, intra- and inter-domain, ecological crosstalk. We assessed the resistomes of epilithic biofilms from GFSs across the Southern Alps (New Zealand) and the Caucasus (Russia) and observed that both bacteria and eukaryotes encoded twenty-nine distinct AMR categories. Of these, beta-lactam, aminoglycoside, and multidrug resistance were both abundant and taxonomically distributed in most of the bacterial and eukaryotic phyla. AMR-encoding phyla included Bacteroidota and Proteobacteria among the bacteria, alongside Ochrophyta (algae) among the eukaryotes…
Ezzat, Leïla et al. Applied and Environmental Microbiology (2022)
Abstract
Microbial life in glacier-fed streams (GFSs) is dominated by benthic biofilms which fulfill critical ecosystem processes. However, it remains unclear how the bacterial communities of these biofilms assemble in stream ecosystems characterized by rapid turnover of benthic habitats and high suspended sediment loads. Using16S rRNA gene amplicon sequence data collected from 54 GFSs across the Himalayas, European Alps, and Scandinavian Mountains, we found that benthic biofilms harbor bacterial communities that are distinct from the bacterial assemblages suspended in the streamwater. Our data showed a decrease in species richness in the benthic biofilms compared to the bacterial cells putatively free-living in the water. The benthic biofilms also differed from the suspended water fractions in terms of community composition…
Bourquin, Massimo et al. Nature Communications (2022)
Abstract
The melting of the cryosphere is among the most conspicuous consequences of climate change, with impacts on microbial life and related biogeochemistry. However, we are missing a systematic understanding of microbiome structure and function across cryospheric ecosystems. Here, we present a global inventory of the microbiome from snow, ice, permafrost soils, and both coastal and freshwater ecosystems under glacier influence. Combining phylogenetic and taxonomic approaches, we find that these cryospheric ecosystems, despite their particularities, share a microbiome with representatives across the bacterial tree of life and apparent signatures of early and constrained radiation…
Bhanu Busi, Susheel, et al. Nature Communications (2022)
Abstract
In glacier-fed streams, ecological windows of opportunity allow complex microbial biofilms to develop and transiently form the basis of the food web, thereby controlling key ecosystem processes. Using metagenome-assembled genomes, we unravel strategies that allow biofilms to seize this opportunity in an ecosystem otherwise characterized by harsh environmental conditions. We observe a diverse microbiome spanning the entire tree of life including a rich virome. Various co-existing energy acquisition pathways point to diverse niches and the exploitation of available resources, likely fostering the establishment of complex biofilms during windows of opportunity. The wide occurrence of rhodopsins, besides chlorophyll, highlights…
Kohler, Tyler J., et al. Global Change Biology (2022)
Abstract
The shrinking of glaciers is among the most iconic consequences of climate change. Despite this, the downstream consequences for ecosystem processes and related microbiome structure and function remain poorly understood. Here, using a space-for-time substitution approach across 101 glacier-fed streams (GFSs) from six major regions worldwide, we investigated how glacier shrinkage is likely to impact the organic matter decomposition rates of benthic biofilms. To do this, we measured the activities of five common extracellular enzymes and estimated decomposition rates by using enzyme allocation equations based on stoichiometry. We found decomposition rates to…
Fodelianakis Stilianos, et al. ISME (2021)
Abstract
Glacier-fed streams (GFSs) are extreme and rapidly vanishing ecosystems, and yet they harbor diverse microbial communities. Although our understanding of the GFS microbiome has recently increased, we do not know which microbial clades are ecologically successful in these ecosystems, nor do we understand potentially underlying mechanisms. Ecologically successful clades should be more prevalent across GFSs compared to other clades, which should be reflected as clade-wise distinctly low phylogenetic turnover. However, methods to assess such patterns are currently missing. Here we developed and applied a novel analytical framework, “phyloscore analysis”, to identify clades with lower spatial phylogenetic turnover than other clades in the sediment microbiome across twenty GFSs in New Zealand. These clades constituted up to 44% and 64% of community α-diversity and abundance, respectively. Furthermore…
Busi SB, et al. BIOXRIV (2021)
Abstract
Microorganisms dominate life in cryospheric ecosystems. In glacier-fed streams (GFSs), ecological windows of opportunities allow complex microbial biofilms to develop and transiently form the basis of the food web, thereby controlling key ecosystem processes. Here, using high-resolution metagenomics, we unravel strategies that allow biofilms to seize this opportunity in an ecosystem otherwise characterized by harsh environmental conditions. We found a diverse microbiome spanning the entire tree of life and including a rich virome. Various and co-existing energy acquisition pathways point to diverse niches and the simultaneous exploitation of available resources, likely fostering the establishment of complex biofilms in GFSs during windows of opportunity. The wide occurrence of rhodopsins across metagenome-assembled genomes (MAGs), besides chlorophyll, highlights the role of solar energy capture in these biofilms. Concomitantly…
Kohler, Tyler J., et al. Frontiers in Microbiology (2020)
Abstract
Glacier-fed streams (GFSs) exhibit near-freezing temperatures, variable flows, and often high turbidities. Currently, the rapid shrinkage of mountain glaciers is altering the delivery of meltwater, solutes, and particulate matter to GFSs, with unknown consequences for their ecology. Benthic biofilms dominate microbial life in GFSs, and play a major role in their biogeochemical cycling. Mineralization is likely an important process for microbes to meet elemental budgets in these systems due to commonly oligotrophic conditions, and extracellular enzymes retained within the biofilm enable the degradation of organic matter and acquisition of carbon (C), nitrogen (N), and phosphorus (P). The measurement and…
Busi SB, et al. PeerJ (2020)
Abstract
Glacier-fed streams (GFS) are harsh ecosystems dominated by microbial life organized in benthic biofilms, yet the biodiversity and ecosystem functions provided by these communities remain under-appreciated. To better understand the microbial processes and communities contributing to GFS ecosystems, it is necessary to leverage high throughput sequencing. Low biomass and high inorganic particle load in GFS sediment samples may affect nucleic acid extraction efficiency using extraction methods tailored to other extreme environments such as deep-sea sediments. Here, we benchmarked the utility and efficacy of four extraction protocols, including an up-scaled phenol-chloroform protocol. We found that established protocols for comparable sample types consistently failed to yield sufficient…






















